Symptoms Remain After 3 Months
Since at least the first wave of the pandemic, the people of BC (and further) have been wondering about what possible long term effects COVID-19 could have on people. While the full extent of the virus’s effects on us may still not be known, a recent study conducted at UBC has shed some much-needed light on the topic.
In early July of this year, Dr. Christopher Ryerson the head of respiratory medicine at St. Paul’s Hospital, opened a post-COVID clinic and patient registry for people who have been treated in a hospital within the Vancouver Coastal Health Authority for COVID-19. The goal of this clinic was to focus primarily on the lung and respiratory complications related to the novel coronavirus, and in the long term become part of the regional effort to create a post-COVID network of clinics that will provide multidisciplinary patient care and generate a robust body of research that includes heart, kidney, neurological, and lung assessments.
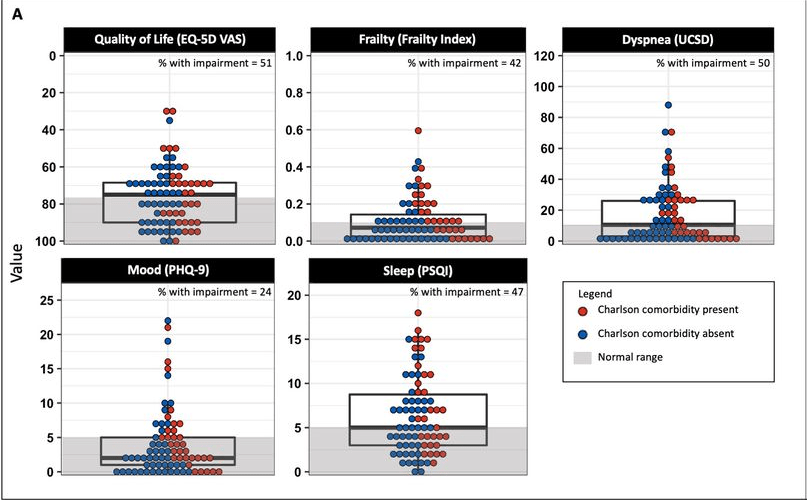
Dr. Ryerson’s clinic helped connect post-COVID patients with Dr. Alyson W. Wong who was the principal lead on the above-mentioned study. Of the 101 patients referred by the Post COVID-19 Recovery Clinic, 78 were included in the final study data. Of these 78 people, 76% reported at least 1 long-term symptom 3 months after the initial onset of symptoms, and 56% reported multiple symptoms. Perhaps even more concerning is the fact that roughly a third of patients reported at least a moderate impairment to their quality of life.
There is still much followup needed to get a clear picture of what post-COVID recovery looks like, but the work of these doctors, and the rest of the teams working on these problems, will hopefully continue to give us more data in the coming months.
Canada-US Border to Remain Closed
Justin Trudeau in a recent radio interview has now publicly stated that the Canada-US border will remain effectively closed until “until the U.S. brings COVID-19 under control.” The story has been covered by many news outlets in the U.S. but doesn’t appear to be quite as prevalent here in Canada. This news is probably not surprising to most Canadians, but the official confirmation likely has a ring of comfort to many, and frustration to many others.

ACE2 Based Treatment in Trials
A UBC professor is spearheading a new treatment concept for COVID-19. Unlike vaccines, which must be administered before a SARS-CoV-2 infection takes place, treatments are administered after infection to reduce the severity of the illness. This particular treatment involves administering doses of the ACE2 enzyme that SARS-CoV-2 uses as a gateway for infecting healthy cells. The idea is that if the virus seeks the introduced ACE2 enzyme it will not be able to infect healthy cells as easily. A study on the effectiveness of this treatment is being conducted in Austria currently.
That’s all for now, stay safe everyone!


One thought on “COVID-19 Diary – Day 217”