Weekly Chart Update
Yesterday was a holiday, so ‘weekly chart day’ was pushed to today! As you can see from the above chart, our weekly totals continue to climb. In fact, this week’s total is the highest weekly total since the beginning of the pandemic. Not just that, but Saturday, October 10th’s new infection number was also a record at 170 cases. Dr. Bonnie Henry mentioned in her address today that over the weekend 6000 additional tests were processed that had been part of a previous backlog, which may account for Saturday and Sunday’s (159) higher than average new case numbers.

Taking a look at the above graph displaying the weekly total growth rates, we can see that despite some higher daily numbers over the weekend, our growth rate is staying relatively low at just a 7.6% increase over the previous week’s total. This tells us that we are continuing to keep our curve relatively flat and that our efforts are making a difference in transmission rates.
SARS-CoV-2 Survivability on Surfaces
A recent study on the effect of temperature on the lifespan of SARS-CoV-2 on common surfaces has been making headlines across the globe recently. Unfortunately, some of these articles have led to uncertainty about the risk level of fomite transmission due to confusion between controlled laboratory conditions and real-world situations.
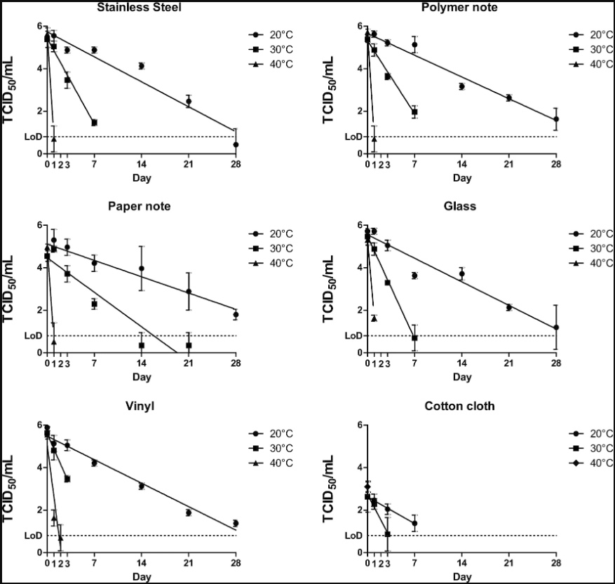
The study in question used viral concentrations similar to what has been found in test-positive cases for COVID-19. For the purposes of these tests, the concentration is considered higher than usual but is considered a plausible amount under possible conditions. It is, however, not intended to represent average or likely situations.


The above data shows that in almost ideal conditions, the virus can be kept alive and recoverable for up to 28 days on some materials. To achieve this, relative humidity must be kept no higher than at 50%, there must be no light or UV radiation of any kind, there must be no agitation or friction of any kind against the sample, and heating must be kept at a consistent 20C (room temperature). Raising the heat (as seen on the above chart) or the relative humidity, or allowing contact with light or even fingertips could quickly cause the lifespan of the virus to drop.

It is very easy to look at the data provided by this study and feel increased anxiety at the idea of taking public transit, working, or even shopping. Keeping healthy respect for the risks involved with living during a pandemic is important, but in this case, the actual risk of fomite transmission of SARS-CoV-2 in real-world scenarios is quite low. How low? Joep de Ligt, the head of bioinformatics and genomics at the Institute of Environmental Science and Research in New Zealand believes they may have discovered the first official case about a week ago… maybe. So continue to take normal precautions, wash your hands, try not to pick up and put down items at the supermarket if you can help it, and don’t touch your face; but also remember the actual real-world risk remains very low.
Johnson & Johnson Pauses Vaccine Trial
Johnson & Johnson announced a temporary pause on the dosing of their COVID-19 vaccine candidate, citing an unexpected illness in a participant. These sorts of pauses happen frequently in phase III vaccine trials and showcase the importance of these larger testing groups for safety confirmation. Currently, the illness is being investigated to see if it is related to the vaccine candidate or not. It is expected that the trial will resume soon, and at this time there is no serious cause for concern.

Monoclonal Antibody Trial Paused
It hasn’t been a good couple of days for COVID-19 trials. The Pharmaceutical company Eli Lilly has had to pause their trial on their LY-CoV555 product, a treatment candidate based on monoclonal antibodies. Details are limited at this time but we do know that a safety threshold was reached with one of the trial groups. A group of independent experts is currently investigating the safety concern and hopefully, a decision will be made shortly on how to proceed.
That’s all for now, stay safe everyone!